[시나공] 그래프·트리 구조 핵심 정리
2026. 3. 1. 00:07ㆍCertifications/정보처리기사 실기
1️⃣ 그래프(Graph)
✅ 정의
- 그래프(Graph)는 정점(Vertex)과 간선(Edge)으로 구성된 자료구조로, 객체 간의 연결 관계를 표현
✅ 방향 그래프 vs 무방향 그래프
- n = 정점(Vertex)의 개수
🔹 방향 그래프의 최대 간선 수
- 공식 : n(n-1)
예시) 정점 4개일 때
→ 4(4-1) = 12🔹 무방향 그래프의 최대 간선 수
- 공식 : n(n-1) / 2
중복 연결을 1개로 보기 때문에 2로 나눔
예시) 정점 4개일 때
→ 4(4-1)/2 = 6🎯 포인트
- “최대 간선 수”는 공식 암기 문제로 자주 출제
2️⃣ 트리(Tree)
✅ 정의
- 트리는 정점(Node)과 간선(Branch)으로 구성
- 사이클(Cycle)이 존재하지 않는 그래프
- 계층적 구조 표현
✅ 특징
루트 노드 1개 존재
모든 노드는 유일한 부모를 가짐
노드 수가 n개일 때 간선 수는 n-1
- 공식 : 트리의 간선 수 = 노드 수 - 1
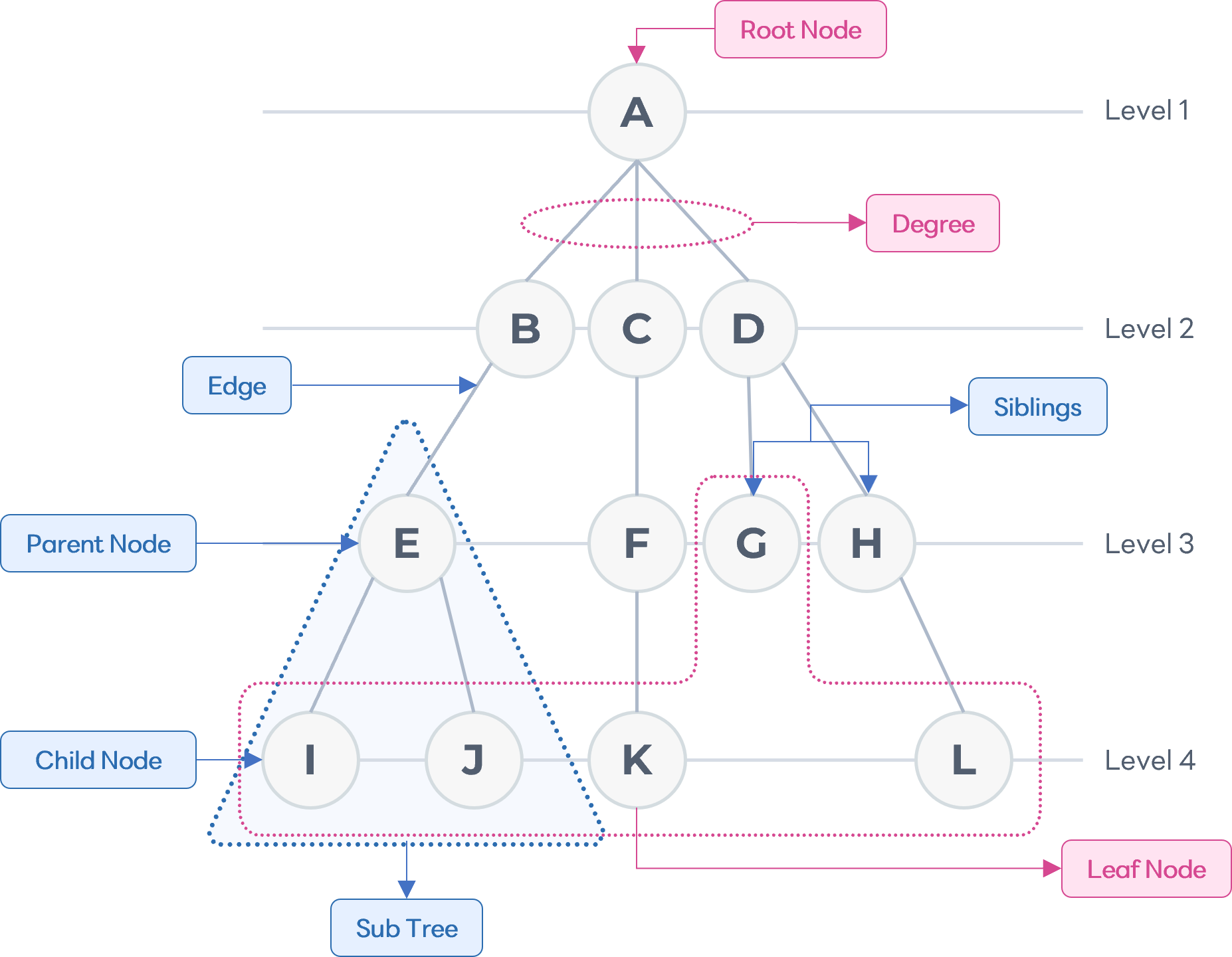
3️⃣ 트리 관련 용어
✅ 주요 용어 정리
| 구성 요소 | 의미 |
|---|---|
| 루트 노드 (Root Node) | 트리의 최상위 노드 |
| 부모 노드 (Parent Node) | 특정 노드의 바로 위에 연결된 노드 |
| 자식 노드 (Child Node) | 특정 노드의 바로 아래에 연결된 노드 |
| 형제 노드 (Siblings) | 같은 부모를 가진 노드들 |
| 간선 (Edge) | 노드와 노드를 연결하는 선 |
| 내부 노드 (Internal Node) |
자식이 하나 이상 존재하는 노드 (Leaf가 아닌 노드) |
| 부분 트리 (Sub Tree) |
트리 내의 특정 노드를 루트로 하여 그 노드의 모든 자손을 포함하는 트리 |
| 디그리 (Degree, 차수) |
해당 노드에서 뻗어 나가는 자식의 수 트리의 디그리 = 노드들 중 최대 차수 |
| 단말 노드 (Terminal Node, Leaf Node) | 자식이 없는 노드 (Degree = 0) |
| 레벨 (Level) | 루트를 Level 1로 가정하고 아래로 내려갈 때마다 +1 |
| 깊이 (Depth / Height) | 트리에서 가질 수 있는 최대 레벨 수 |
| 숲 (Forest) | 여러 개의 트리 집합 |

📊 시험 포인트 정리
🔥 1. 최대 간선 수 공식 문제
- 방향/무방향 구분 문제
- 정점 개수 제시 → 간선 수 계산
🔥 2. 트리 여부 판별 문제
- 사이클 존재 여부
- 간선 수 = n-1인지 확인
- 연결 그래프 여부 확인
🔥 3. 트리 용어 정의 문제
- 디그리
- 단말 노드 개수
- 트리의 깊이
- 숲 개념
📌 암기 핵심 요약
- 방향 그래프 최대 간선 = n(n-1)
- 무방향 그래프 최대 간선 = n(n-1)/2
- 트리 간선 수 = n-1
- 트리 = 사이클 없음
- 단말 노드 = Degree 0
- 트리 디그리 = 최대 차수

2025 시나공 퀵이지 정보처리기사 실기 단기완성
(저자: 강윤석, 김용갑, 김우경, 김종일 | 출판사: 길벗)
※ 본 글은 위 교재를 참고하여 학습 목적으로 재정리한 내용입니다.
'Certifications > 정보처리기사 실기' 카테고리의 다른 글
| [시나공] 정렬 알고리즘 총정리 (삽입·선택·버블·퀵·힙·2-Way 합병) (0) | 2026.03.02 |
|---|---|
| [시나공] 트리 순회, 수식 표기 변환 완전 정리 (0) | 2026.03.01 |
| [시나공] 자료구조 핵심 정리 (선형 구조 중심) (0) | 2026.02.28 |
| [시나공] 데이터베이스 운영·보안·접근통제 핵심 정리 (0) | 2026.02.28 |
| [시나공] 시스템 카탈로그 ~ 인덱스 핵심 정리 (0) | 2026.02.27 |